İçindekiler
- 1 Spearman-Brown İç Tutarlılık Analizi Nedir?
- 2 Spearman-Brown Analizi Neden Kullanılır?
- 3 Cronbach’s Alpha Yerine Neden Spearman-Brown Kullanılır?
- 4 Spearman-Brown Katsayısı ve Ölçek Uzunluğu
- 5 Ölçek Geliştirme Sürecinde Spearman-Brown Kullanımı
- 6 SPSS ile Spearman-Brown İç Tutarlılık Analizi Nasıl Yapılır?
Spearman-Brown İç Tutarlılık Analizi Nedir?
Spearman-Brown katsayısı, bir ölçeğin güvenilirliğini belirlemek için kullanılan bir iç tutarlılık analiz yöntemidir. Özellikle ikiye bölme (split-half) yöntemi ile hesaplanan güvenilirliği düzeltmek için geliştirilmiştir. Bir testin iki eşit parçaya bölünerek parçaların birbiriyle korelasyonundan hareketle, testin tümünün güvenilirliğini tahmin eder.
Spearman-Brown Formülü (Güvenilirlik İçin):

Bu formülde “r = İkiye bölünmüş testin iki yarısı arasındaki korelasyon katsayısı” demektir.
“Spearman-Brown değeri = 2r / (1+r)”
Spearman-Brown değeri 0.70 veya daha büyükse, ölçeğin güvenilirliği yeterince iyi demektir.
Spearman-Brown Analizi Neden Kullanılır?
- İkiye Bölme Güvenilirliğini Düzeltir: Split-half yöntemiyle yapılan testlerde güvenilirlik hesaplanırken, testin yarısı kullanıldığı için doğrudan hesaplanan korelasyon testi tam olarak yansıtmaz. Spearman-Brown katsayısı, bu durumu düzeltir ve testin tümü için güvenilirlik tahmini yapar.
- Özellikle Kısa Testlerde Kullanışlıdır: Uzun ölçeklerde Cronbach’s Alpha yaygın olarak kullanılırken, kısa testlerde veya eşit uzunlukta bölünmüş testlerde Spearman-Brown güvenilirliği hesaplamak daha uygundur.
- Ölçeğin Uzatılması veya Kısaltılmasının Etkisini Tahmin Eder: Spearman-Brown formülü, bir testin öğe sayısının artırılması veya azaltılması durumunda güvenilirliğin nasıl değişeceğini tahmin etmek için de kullanılır.
Cronbach’s Alpha Yerine Neden Spearman-Brown Kullanılır?
- Cronbach’s Alpha güvenilirlik katsayısı, bir ölçeğin tüm öğeleri arasındaki ortalama iç korelasyona dayanırken, Spearman-Brown yalnızca iki yarı arasındaki korelasyon ilişkisine odaklanır.
- Spearman-Brown düzeltme işlevi görür: İkiye bölme yöntemiyle hesaplanan güvenilirlik, testin gerçek güvenilirliğini düşük tahmin edebilir. Spearman-Brown düzeltmesi, bu tahmini testin tümü için daha doğru bir hale getirir.
- Ölçek geliştirme çalışmalarında ölçeğin uzunluğu değiştirildiğinde kullanılır: Eğer bir ölçek belirli bir uzunluktan daha kısa ya da uzun hale getirilecekse, güvenilirliğin nasıl etkileneceğini öngörmek için Spearman-Brown formülü tercih edilir.
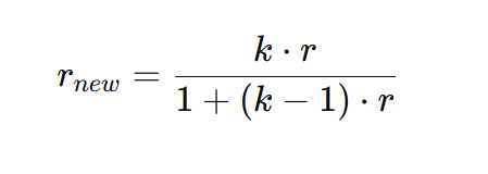
Spearman-Brown Katsayısı ve Ölçek Uzunluğu
Spearman-Brown formülü, ölçeğin madde sayısının değiştirilmesi durumunda güvenilirlik katsayısının nasıl değişeceğini tahmin etmeye yardımcı olur. Eğer testin uzunluğu k katına çıkarılırsa, güvenilirliğin nasıl değişeceğini incelemeye yarar.
Spearman-Brown Formülü (Ölçek Uzunluğunu Değiştirmek İçin):

Burada:
- r = Mevcut ölçeğin güvenilirlik katsayısı,
- k = Ölçek uzunluğunu artırma veya azaltma faktörü (örneğin, ölçeği iki katına çıkarmak için k=2, yarıya indirmek için k=0.5),
- r(new) = Yeni uzunluk için tahmin edilen güvenilirlik.
Bu formül, madde eklenmesiyle güvenilirlik artışı sağlanıp sağlanamayacağını veya madde çıkarıldığında güvenilirliğin ne kadar düşeceğini değerlendirmek için kullanılır.
Ölçek Geliştirme Sürecinde Spearman-Brown Kullanımı
-
Ölçeğin Uzatılması: Eğer ölçek geliştirme sürecinde madde sayısını artırmayı planlıyorsanız, Spearman-Brown formülü, artan madde sayısının güvenilirlik üzerinde nasıl bir etkisi olacağını tahmin etmek için kullanılabilir. Genellikle madde sayısı arttıkça güvenilirlik de artar, ancak eklenen maddelerin homojenliği ve tutarlılığı bu artışı etkiler.
-
Ölçeğin Kısaltılması: Eğer ölçeği daha kısa ve uygulanması kolay hale getirmek istiyorsanız, bazı maddeleri çıkarmadan önce, Spearman-Brown formülü ile güvenilirlik değişimini tahmin edebilirsiniz. Eğer önemli bir güvenilirlik kaybı olmuyorsa, ölçek kısaltılabilir.
-
Test Yeniden Düzenleme: Özellikle uzun testleri veya ölçekleri daha kısa ve uygulanabilir hale getirmek için, madde azaltma işlemlerinin güvenilirliğe etkisini değerlendirmede Spearman-Brown oldukça faydalıdır.
Bu yüzden, ölçek geliştirme sürecinde test uzunluğunu optimize etmek için Spearman-Brown kullanışlı bir araçtır. Özellikle madde ekleyerek güvenilirliği artırmak mı, yoksa güvenilirliği koruyarak ölçeği kısaltmak mı gerektiğini belirlemede yardımcı olur.
SPSS ile Spearman-Brown İç Tutarlılık Analizi Nasıl Yapılır?
Bu örnekte, SPSS verimizde 6 sorudan oluşan bir Çevresel Kimlik ölçeğimiz var. Bu ölçeğin Spearman-Brown yöntemine göre iç tutarlılık seviyesinin yeterli olup olmadığını incelemek istiyoruz.
Veri setimiz SPSS’te aşağıdaki şekilde görünüyor.

Analyze -> Scale -> Reliability Analysis basıyoruz.

Açılacak pencerede, ölçeğimizin önce tek sayılı sorularını, sonra da çift sayılı sorularını sırayla soldaki kutudan alıp sağdaki kutuya yerleştiriyoruz. Böyle sıralı olması önemli çünkü SPSS Spearman-Brown analizini yaparken Items kutusuna koyduğumuz ilk soruları bir grup, son soruları diğer grup olarak ayırıyor. Tek-çift olarak ayırmasını sağlamak için bu şekilde yerleştirmemiz gerekiyor.
Pencerenin sol alt bölümünde “Model” menüsünden “Split-half” işaretliyoruz. Sonra OK butonuna basıp analizi başlatabiliriz.

SPSS aşağıdaki gibi bir Reliability Statistics tablosu önümüze verecek. Bu tabloda yer alan satırların anlamı ne diye bakacak olursak:
Cronbach’s Alpha Part 1 bölümü, ölçeğin, SPSS’in ayırdığı ilk yarısının sorularının Cronbach’s Alpha katsayısını ifade ediyor. (tablonun altında dipnot olarak yazıyor hangi sorulardan oluştuğu)
Cronbach’s Alpha Part 2 bölümü, ölçeğin, SPSS’in ayırdığı ikinci yarısının sorularının Cronbach’s Alpha katsayısını ifade ediyor. (tablonun altında dipnot olarak yazıyor hangi sorulardan oluştuğu)
Correlation Between Forms satırı, Part 1 (yani tek sayılardan oluşan alt-grup) ile Part 2’nin (yani çift sayılardan oluşan alt grup) ortalama skorlarının birbirleriyle korelasyon ilişkisinin büyüklüğünü gösteriyor.
Spearman-Brown Coefficient bölümü de, ölçeğin Spearman-Brown güvenilirlik katsayısını ifade ediyor. (Eğer ölçeğimizin soru sayısı çift sayıysa “Equal Length”, tek sayıysa “Unequal Length” satırını okumamız gerekiyor [bu iki formülün hesaplanışı arasında çok minimal bir fark var])
Guttman Split-Half Coefficient satırı da Spearman-Brown formülüne alternatif olarak Guttman diye başka bir istatistikçinin formülüne göre hesaplanan güvenilirlik katsayısını ifade ediyor.

-
Cronbach’s Alpha (Part 1 = .524, Part 2 = .616)
- Bölüm 1 yani tek sayılardan oluşan alt-grup için Cronbach’s Alpha değeri 0.524 bulunmuş; yani EID_1, EID_3 ve EID_5 öğeleri birlikte “vasat” iç tutarlılığa sahiptir.
- Bölüm 2 yani tek sayılardan oluşan alt-grup için Cronbach’s Alpha değeri 0.616 bulunmuş; yani EID_2, EID_4 ve EID_6 öğeleri birlikte “vasatın biraz iyisi” iç tutarlılığa sahiptir.
-
Correlation Between Forms = .676
- Bu, Bölüm 1’deki maddelerin toplamı (veya ortalaması) ile Bölüm 2’deki maddelerin toplamı (veya ortalaması) arasındaki Pearson korelasyon katsayısıdır.
- Spearman-Brown formülüne göre (rsb = 2r / [1+r]) yeterli güvenilirliğin olması için Spearman-Brown katsayısının en az 0.70 olması gerekiyor demiştik; Spearman-Brown katsayısının en az 0.70 olması için de bu Pearson korelasyon büyüklüğünün en az 0.54 olması gerekiyor.
-
Spearman–Brown Coefficient (Equal Length = .807, Unequal Length = .807)
- Spearman-Brown “kehanet” (prophecy) formülü, tam testin güvenilirliğini tahmin etmek için deminki korelasyonu (0.676) ayarlar.
Her iki yarıda da aynı sayıda madde (3+3) bulunduğundan, “Eşit Uzunluk” bölümüne bakmamız gerekir (yani 0.807).
Pratik açıdan, bu 0.807 değeri, tüm 6 maddeyi tek bir tam ölçek olarak ele alırsanız bekleyeceğimiz tahmini güvenilirlik seviyesidir. Bu, 0.70’ten hatta 0.80’den büyük olduğu için “güvenilirlik seviyesi gayet iyi” şeklinde bir sonuca varabiliriz.
- Spearman-Brown “kehanet” (prophecy) formülü, tam testin güvenilirliğini tahmin etmek için deminki korelasyonu (0.676) ayarlar.

Özetle tablo bize şunları gösterir:
- Her bir yarının kendi başına ne kadar tutarlı olduğu (2 Cronbach’s alpha).
- İki yarının birbirleriyle ne kadar güçlü bir şekilde ilişkili olduğu (Correlation Between Forms).
- Bu bölünmeden çıkarım yaparak, tüm 6 maddelik ölçeğimizin güvenilirliğinin ne olacağı (Spearman-Brown ve Guttman katsayıları).



Bir yanıt bırakın